Официальное опубликование правовых актов
ОФИЦИАЛЬНОЕ ОПУБЛИКОВАНИЕ
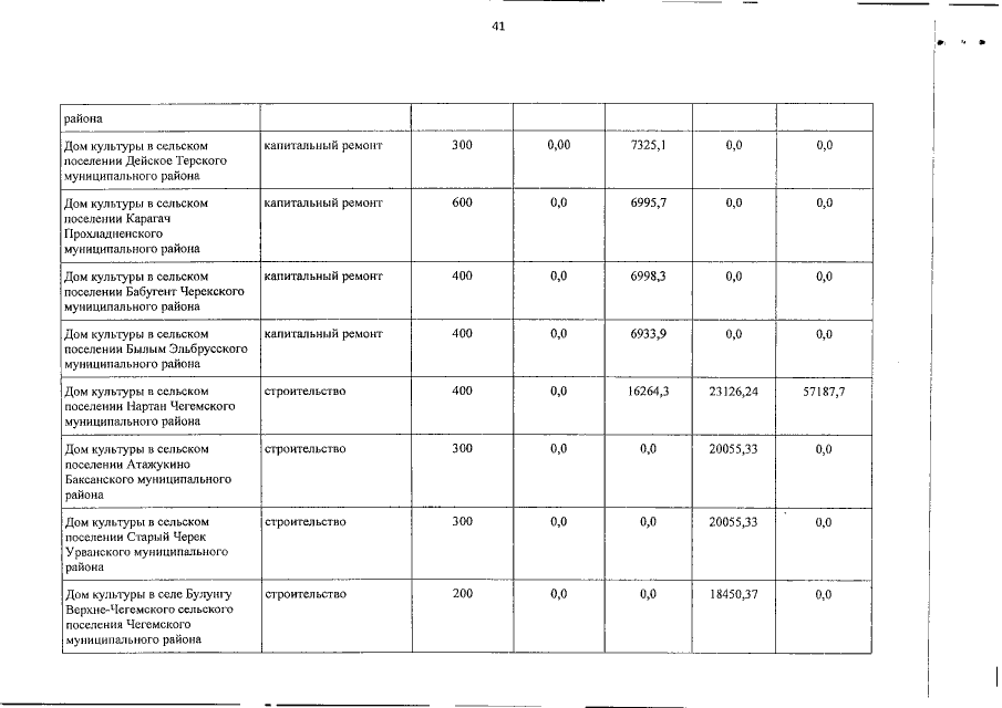
Постановление Правительства Кабардино-Балкарской Республики от 30.04.2020 № 97-ПП
"О внесении изменений в государственную программу Кабардино-Балкарской Республики "Культура Кабардино-Балкарии"
Номер опубликования: 0700202005060008
Дата опубликования: 06.05.2020
Страница №42 из 45:
Увеличить