Официальное опубликование правовых актов
ОФИЦИАЛЬНОЕ ОПУБЛИКОВАНИЕ
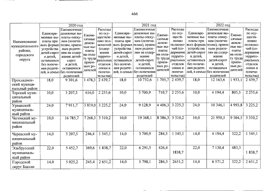
Закон Кабардино-Балкарской Республики от 27.12.2019 № 45-РЗ
"О республиканском бюджете Кабардино-Балкарской Республики на 2020 год и на плановый период 2021 и 2022 годов"
Номер опубликования: 0700201912310002
Дата опубликования: 31.12.2019
Страница №466 из 489:
Увеличить