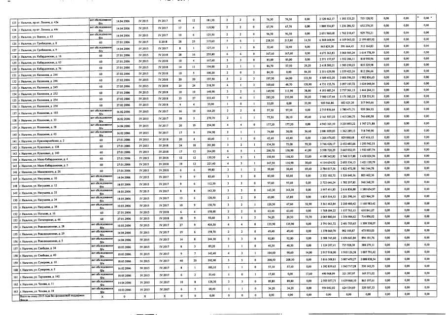
Постановление Правительства Кабардино-Балкарской Республики от 27.03.2019 № 50-ПП
"О внесении изменений в Республиканскую адресную программу "Переселение граждан из аварийного жилищного фонда в Кабардино-Балкарской Республике в 2013-2017 годах"
"О внесении изменений в Республиканскую адресную программу "Переселение граждан из аварийного жилищного фонда в Кабардино-Балкарской Республике в 2013-2017 годах"
Номер опубликования: 0700201903290001
Дата опубликования:
29.03.2019
