Официальное опубликование правовых актов
ОФИЦИАЛЬНОЕ ОПУБЛИКОВАНИЕ
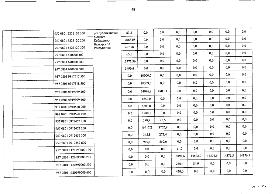
Постановление Правительства Кабардино-Балкарской Республики от 16.02.2017 № 15-ПП
"О внесении изменений в государственную программу Кабардино-Балкарской Республики "Культура Кабардино-Балкарии"
Номер опубликования: 0700201702210001
Дата опубликования: 21.02.2017
Страница №49 из 53:
Увеличить