Официальное опубликование правовых актов
ОФИЦИАЛЬНОЕ ОПУБЛИКОВАНИЕ
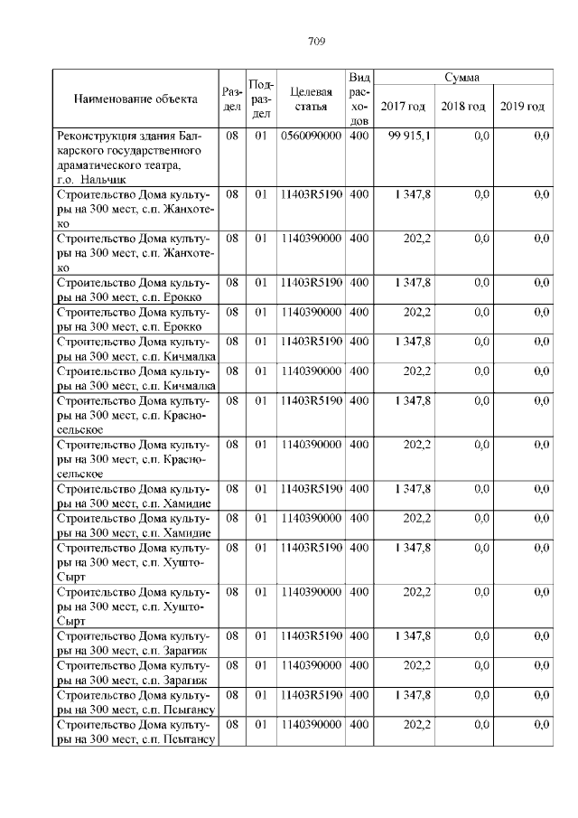
Закон Кабардино-Балкарской Республики от 28.12.2016 № 63-РЗ
"О республиканском бюджете Кабардино-Балкарской Республики на 2017 год и на плановый период 2018 и 2019 годов"
Номер опубликования: 0700201701030001
Дата опубликования: 03.01.2017
Страница №709 из 753:
Увеличить