Официальное опубликование правовых актов
ОФИЦИАЛЬНОЕ ОПУБЛИКОВАНИЕ
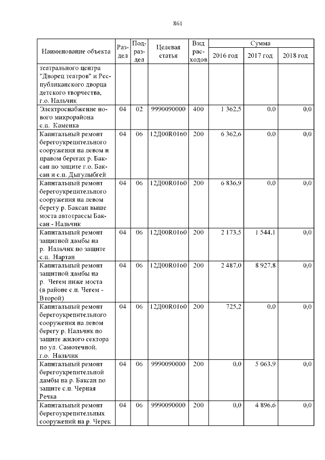
Закон Кабардино-Балкарской Республики от 26.12.2016 № 62-РЗ
"О внесении изменений в Закон Кабардино-Балкарской Республики "О республиканском бюджете Кабардино-Балкарской Республики на 2016 год и плановый период 2017 и 2018 годов"
Номер опубликования: 0700201612300006
Дата опубликования: 30.12.2016
Страница №861 из 902:
Увеличить