Официальное опубликование правовых актов
ОФИЦИАЛЬНОЕ ОПУБЛИКОВАНИЕ
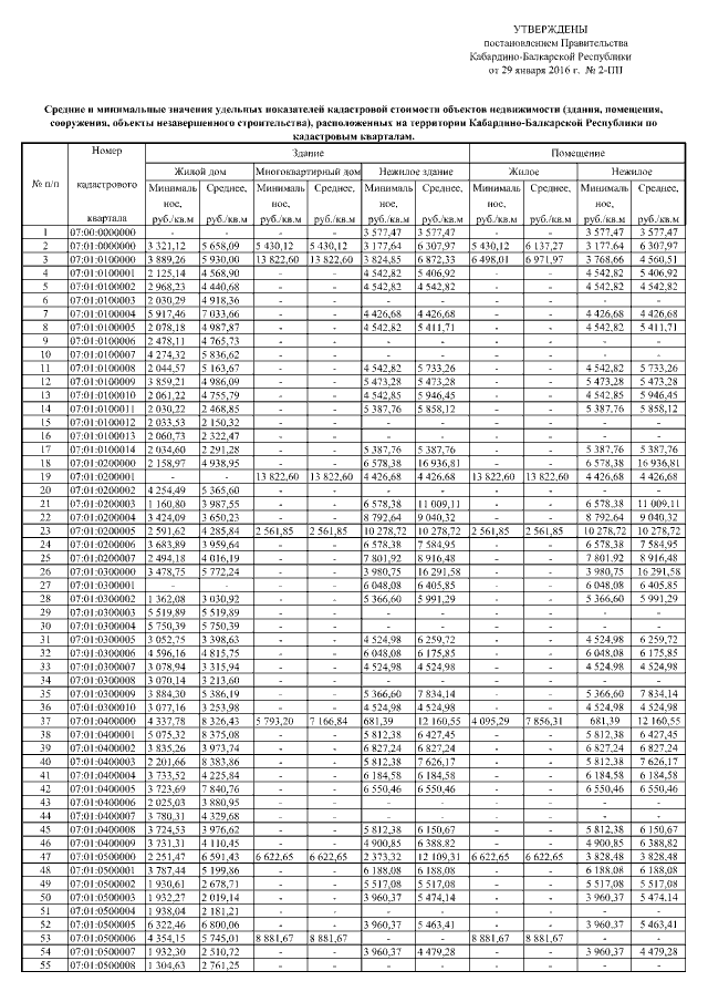
Постановление Правительства Кабардино-Балкарской Республики от 29.01.2016 № 2-ПП
"Об утверждении результатов определения кадастровой стоимости объектов недвижимости (здания, помещения, сооружения, объекты незавершенного строительства), расположенных на территории Кабардино-Балкарской Республики"
Номер опубликования: 0700201602030002
Дата опубликования: 03.02.2016
Страница №4192 из 4286:
Увеличить