Официальное опубликование правовых актов
ОФИЦИАЛЬНОЕ ОПУБЛИКОВАНИЕ
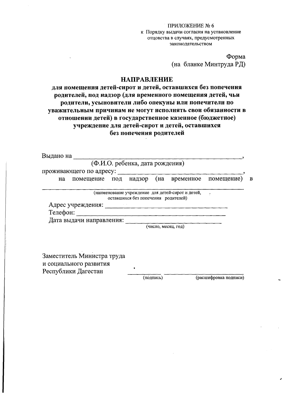
Приказ Министерства труда и социального развития Республики Дагестан от 22.09.2025 № 20-674
"Об утверждении порядка выдачи направлений для помещения детей в государственные казенные (бюджетные) учреждения для детей-сирот и детей, оставшихся без попечения родителей, в отношении которых Министерство труда и социального развития Республики Дагестан осуществляет функции и полномочия учредителя"
(Зарегистрирован 22.10.2025 № 8291)
Номер опубликования: 0501202510270015
Дата опубликования: 27.10.2025
Страница №18 из 21:
Увеличить