Официальное опубликование правовых актов
ОФИЦИАЛЬНОЕ ОПУБЛИКОВАНИЕ
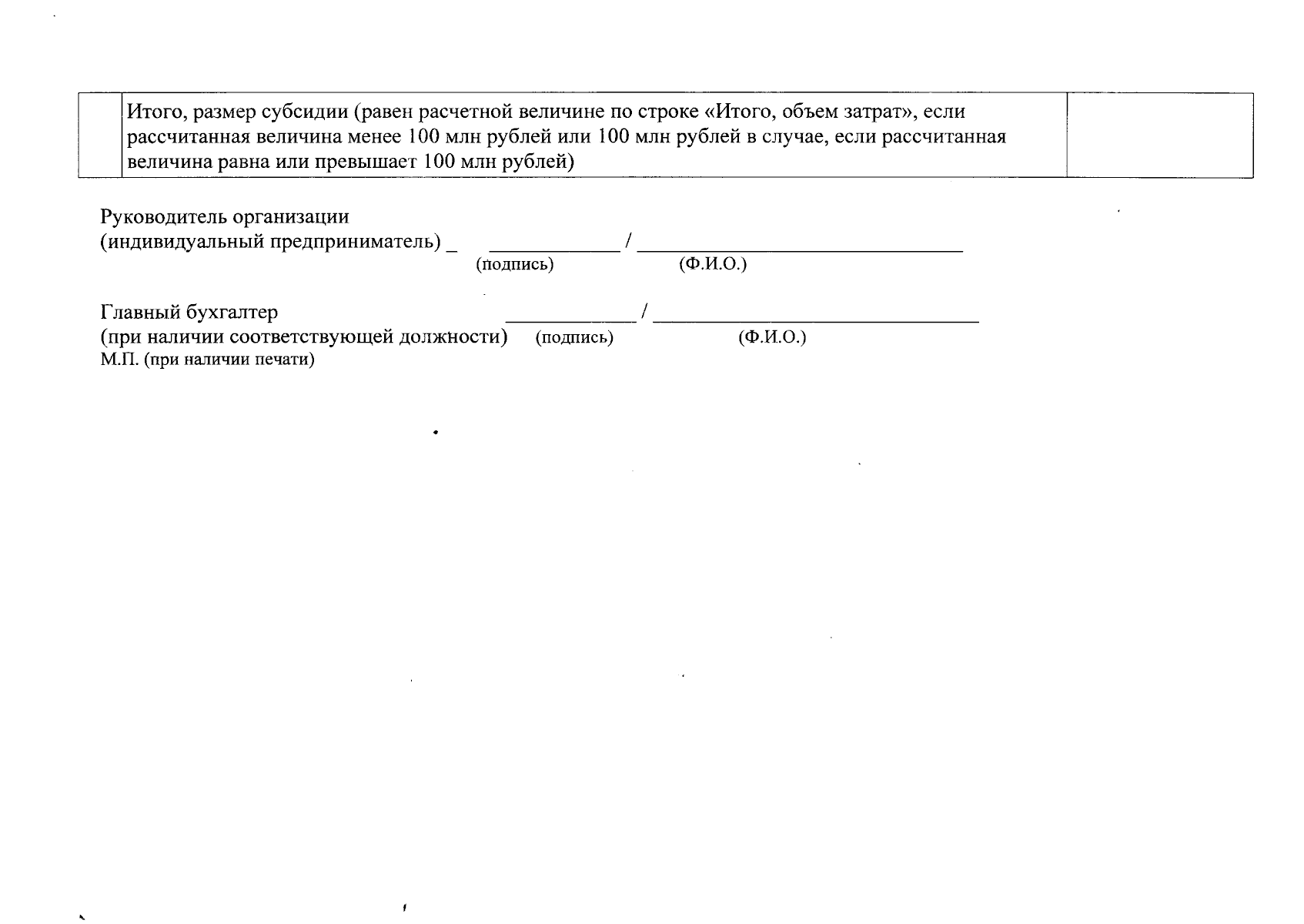
Приказ Министерства промышленности и торговли Республики Дагестан от 24.09.2025 № 172-ОД
"Об утверждении Порядка предоставления субсидий на возмещение части затрат промышленных предприятий, связанных с приобретением нового оборудования для переработки шерсти и шкур животных"
(Зарегистрирован 07.10.2025 № 8263)
Номер опубликования: 0501202510100004
Дата опубликования: 10.10.2025
Страница №23 из 32:
Увеличить