Официальное опубликование правовых актов
ОФИЦИАЛЬНОЕ ОПУБЛИКОВАНИЕ
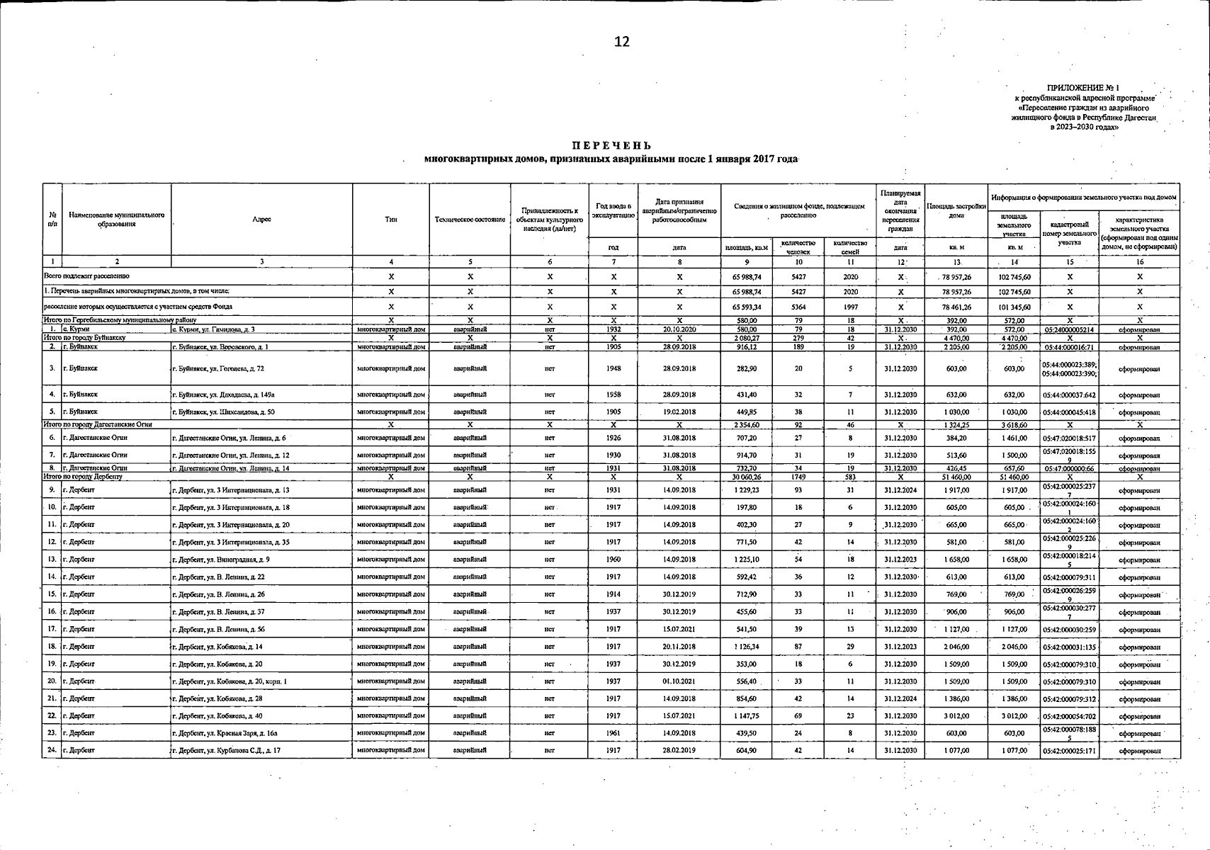
Постановление Правительства Республики Дагестан от 03.09.2025 № 272
Номер опубликования: 0500202509090001
Дата опубликования: 09.09.2025
Страница №13 из 29:
Увеличить