Официальное опубликование правовых актов
ОФИЦИАЛЬНОЕ ОПУБЛИКОВАНИЕ
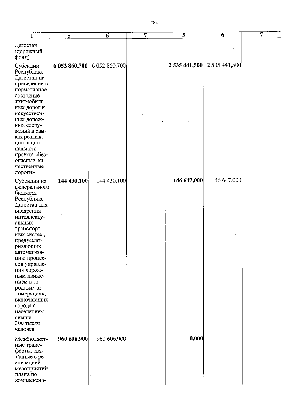
Закон Республики Дагестан от 24.12.2024 № 96
"О республиканском бюджете Республики Дагестан на 2025 год и на плановый период 2026 и 2027 годов"
Номер опубликования: 0500202412260013
Дата опубликования: 26.12.2024
Страница №784 из 862:
Увеличить