Официальное опубликование правовых актов
ОФИЦИАЛЬНОЕ ОПУБЛИКОВАНИЕ
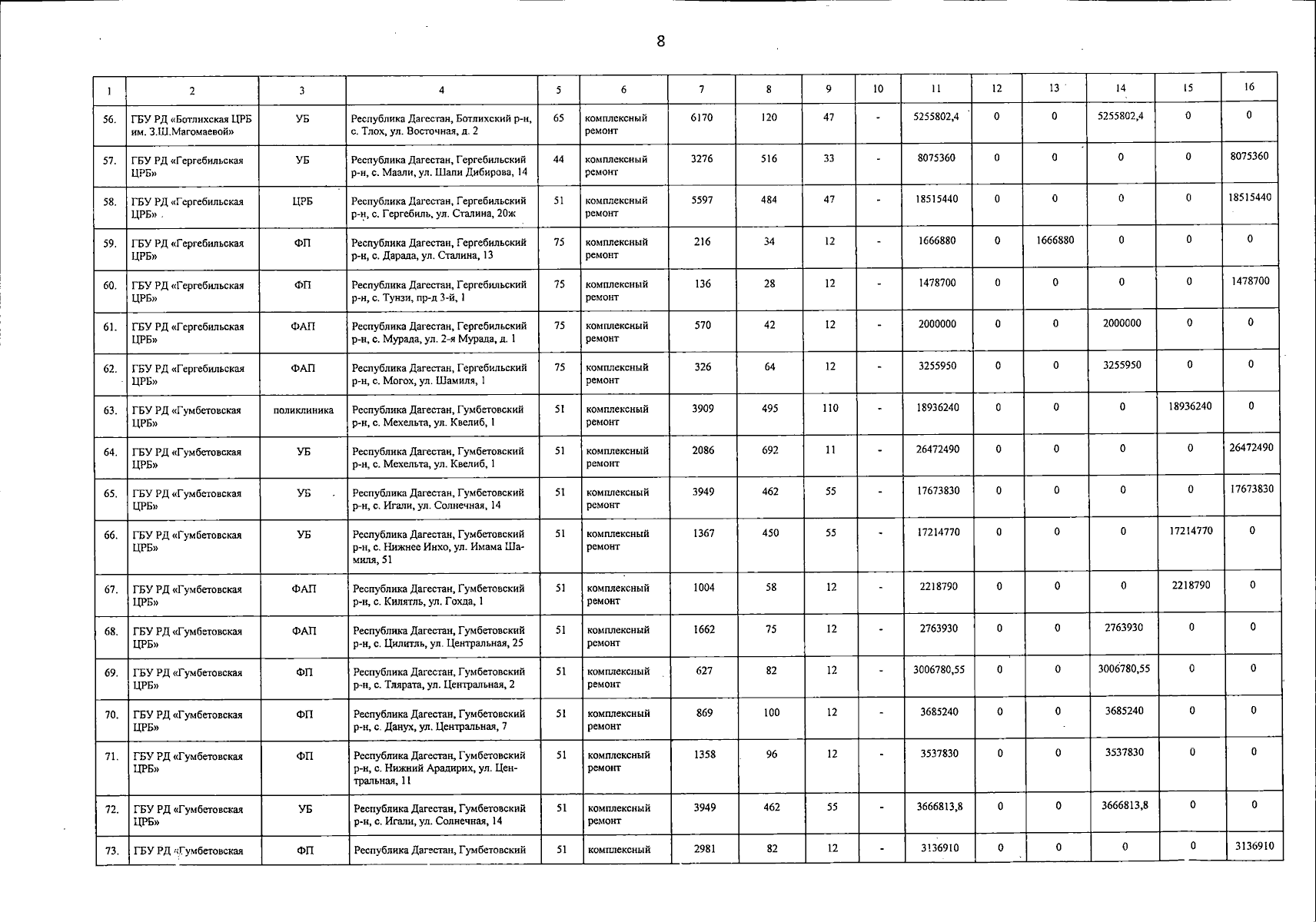
Постановление Правительства Республики Дагестан от 27.12.2023 № 538
"О внесении изменений в государственную программу Республики Дагестан "Развитие здравоохранения в Республике Дагестан" и признании утратившими силу некоторых актов Правительства Республики Дагестан"
Номер опубликования: 0500202401030023
Дата опубликования: 03.01.2024
Страница №31 из 422:
Увеличить