Официальное опубликование правовых актов
ОФИЦИАЛЬНОЕ ОПУБЛИКОВАНИЕ
Приказ Министерства строительства и жилищно-коммунального хозяйства Республики Алтай от 31.03.2026 № П-07-01/131
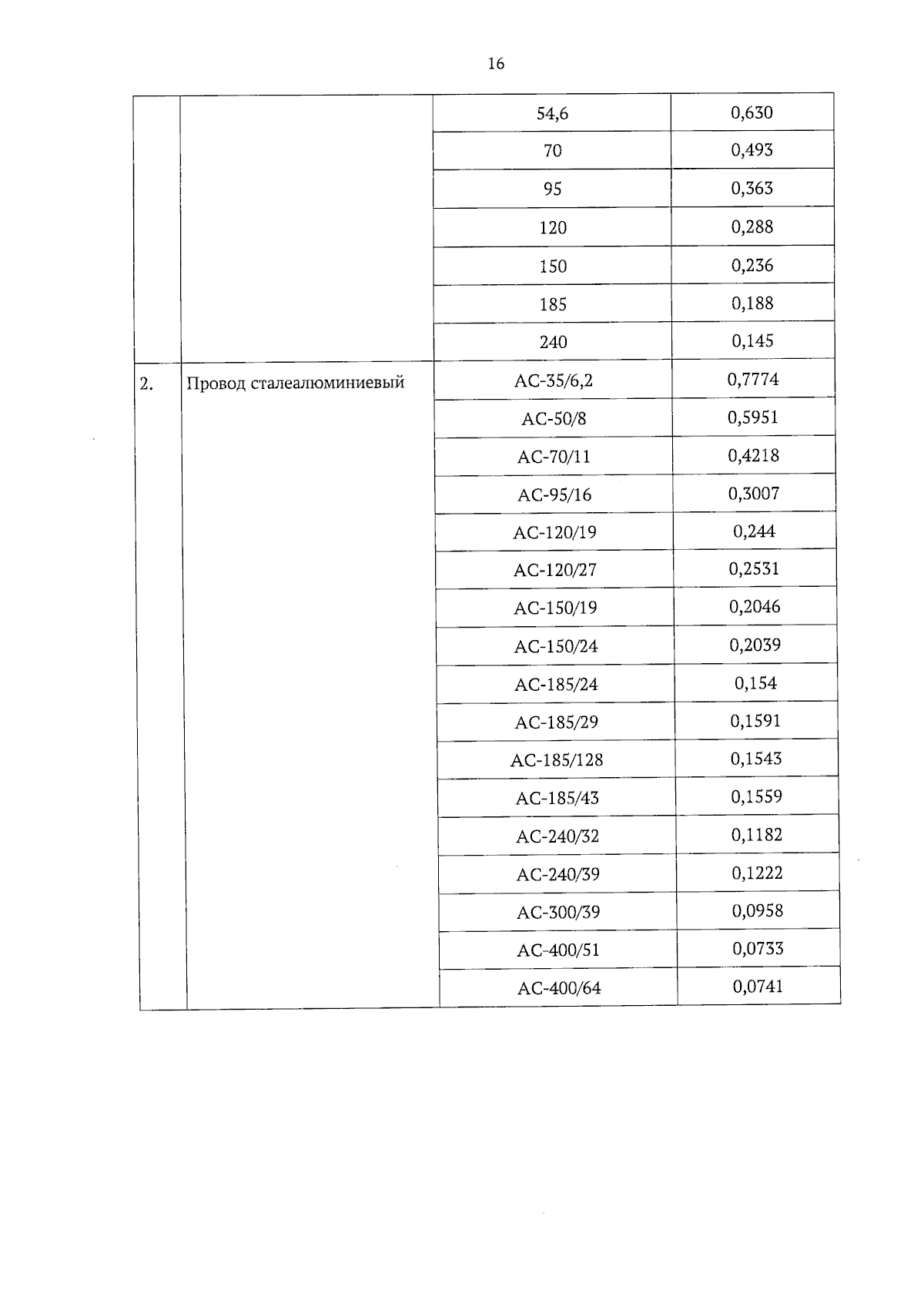
"Об установлении требований к программам в области энергосбережения и повышения энергетической эффективности организаций, поставляющих электрическую энергию (мощность) покупателям на розничных рынках на территориях Республики Алтай, технологически не связанных с единой энергетической системой России и технологически изолированными территориальными электроэнергетическими системами, на 2027 – 2029 годы"
(Зарегистрирован 31.03.2026 № 165)
Номер опубликования: 0401202604010002
Дата опубликования: 01.04.2026
Страница №16 из 18:
Увеличить