Официальное опубликование правовых актов
ОФИЦИАЛЬНОЕ ОПУБЛИКОВАНИЕ
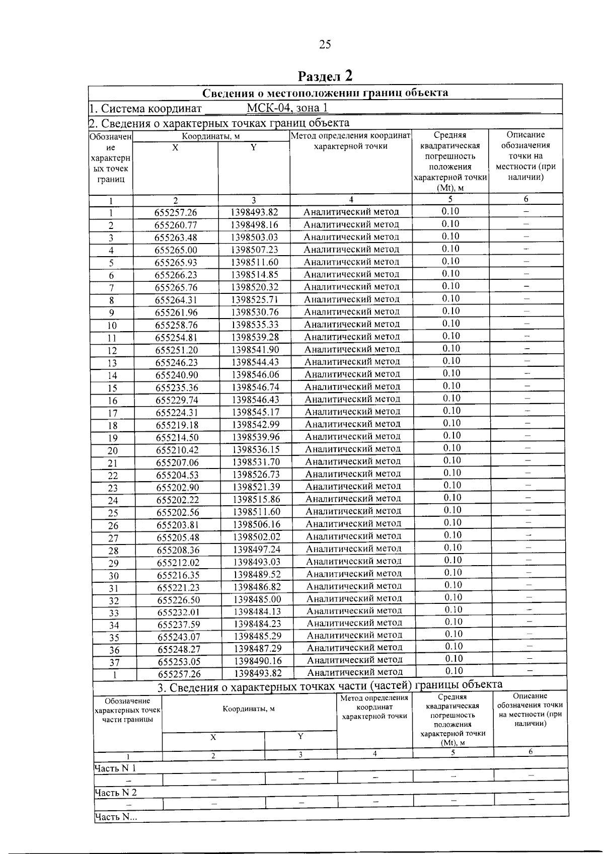
Приказ Министерства природных ресурсов и экологии Республики Алтай от 18.02.2026 № П-03-01/4
"Об утверждении изменений, которые вносятся в некоторые приказы Министерства природных ресурсов и экологии Республики Алтай"
(Зарегистрирован 19.02.2026 № 69)
Номер опубликования: 0401202602190006
Дата опубликования: 19.02.2026
Страница №25 из 94:
Увеличить