Официальное опубликование правовых актов
ОФИЦИАЛЬНОЕ ОПУБЛИКОВАНИЕ
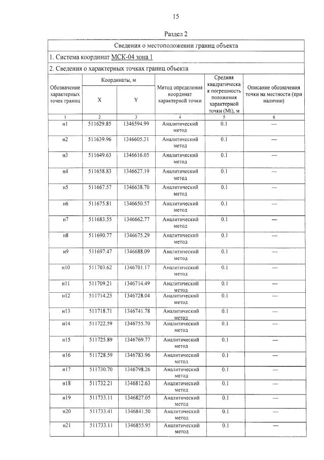
Приказ Министерства природных ресурсов, экологии и туризма Республики Алтай от 15.11.2021 № 672
"Об установлении зон санитарной охраны на водозаборный участок (скважина 5609) по улице Ленина, 16 в Онгудайском районе Республики Алтай"
Номер опубликования: 0401202111160002
Дата опубликования: 16.11.2021
Страница №15 из 23:
Увеличить