Официальное опубликование правовых актов
ОФИЦИАЛЬНОЕ ОПУБЛИКОВАНИЕ
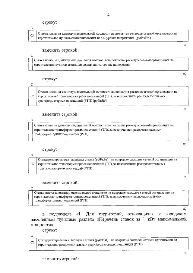
Приказ Комитета по тарифам Республики Алтай от 10.02.2021 № 2/2
"О внесении изменений в приложения № 2 и № 4 к приказу Комитета по тарифам Республики Алтай от 29 декабря 2020 года № 44/3"
Номер опубликования: 0401202102120004
Дата опубликования: 12.02.2021
Страница №4 из 6:
Увеличить