Официальное опубликование правовых актов
ОФИЦИАЛЬНОЕ ОПУБЛИКОВАНИЕ
Приказ Министерства регионального развития Республики Алтай от 19.03.2020 № 118-Д
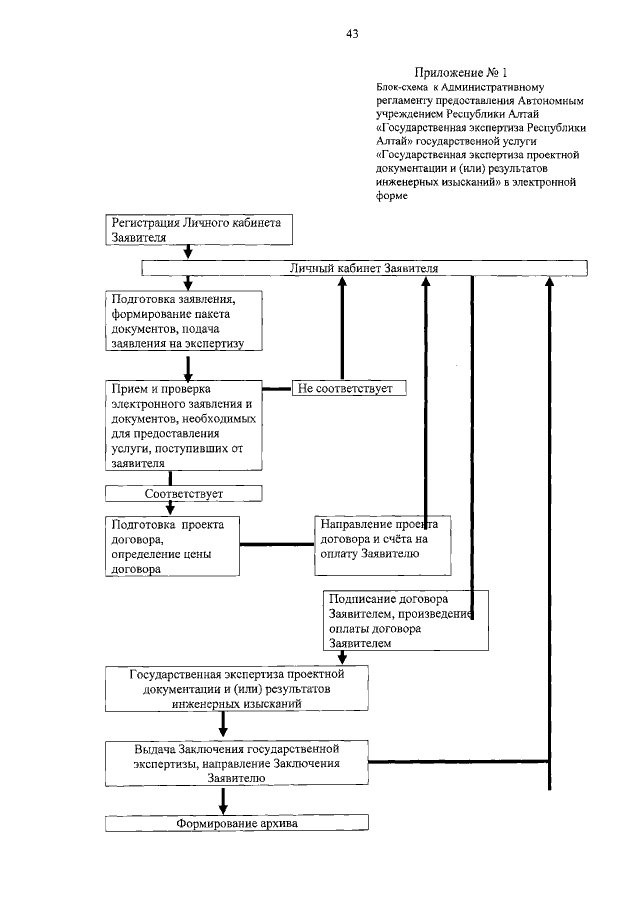
"Об утверждении Административного регламента предоставления Автономным учреждением Республики Алтай "Государственная экспертиза Республики Алтай" государственной услуги "Государственная экспертиза проектной документации и (или) результатов инженерных изысканий" в электронной форме и признании утратившими силу некоторых приказов Министерства регионального развития Республики Алтай"
Номер опубликования: 0401202003230001
Дата опубликования: 23.03.2020
Страница №43 из 43:
Увеличить