Официальное опубликование правовых актов
ОФИЦИАЛЬНОЕ ОПУБЛИКОВАНИЕ
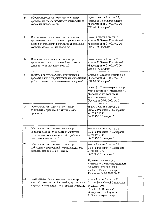
Приказ Министерства природных ресурсов, экологии и туризма Республики Алтай от 06.02.2020 № 78
"Об утверждении форм проверочных листов (списков контрольных вопросов) при осуществлении регионального государственного экологического надзора"
Номер опубликования: 0401202002070002
Дата опубликования: 07.02.2020
Страница №11 из 42:
Увеличить