Официальное опубликование правовых актов
ОФИЦИАЛЬНОЕ ОПУБЛИКОВАНИЕ
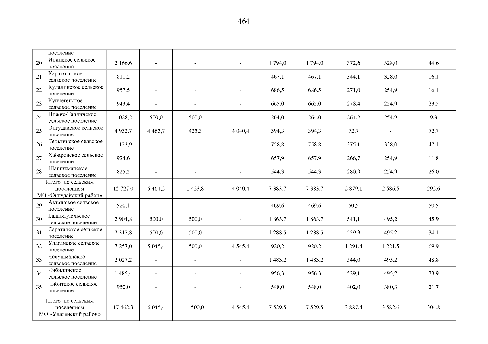
Закон Республики Алтай от 18.12.2025 № 124-РЗ
"Закон Республики Алтай "О республиканском бюджете Республики Алтай на 2026 год и на плановый период 2027 и 2028 годов"
Номер опубликования: 0400202512220010
Дата опубликования: 22.12.2025
Страница №464 из 486:
Увеличить