Официальное опубликование правовых актов
ОФИЦИАЛЬНОЕ ОПУБЛИКОВАНИЕ
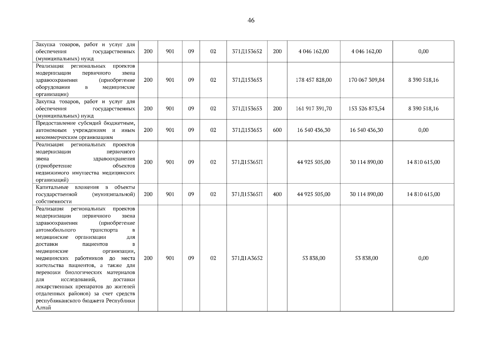
Постановление Правительства Республики Алтай от 18.11.2025 № 302
"Об утверждении отчета об исполнении республиканского бюджета Республики Алтай за девять месяцев 2025 года"
Номер опубликования: 0400202511200001
Дата опубликования: 20.11.2025
Страница №46 из 328:
Увеличить