Официальное опубликование правовых актов
ОФИЦИАЛЬНОЕ ОПУБЛИКОВАНИЕ
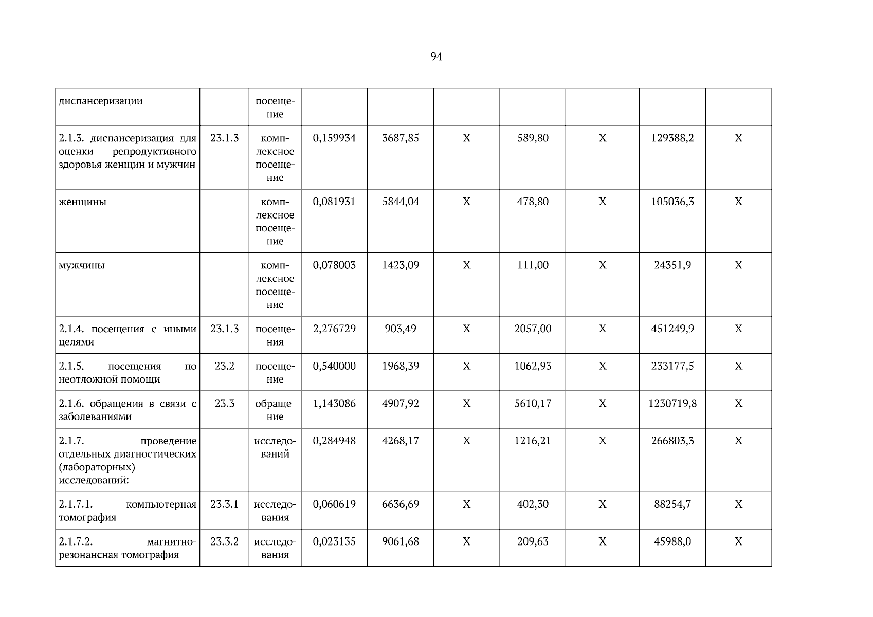
Постановление Правительства Республики Алтай от 31.10.2025 № 280
"Об утверждении изменений, которые вносятся в Территориальную программу государственных гарантий бесплатного оказания гражданам медицинской помощи на 2025 год и на плановый период 2026 и 2027 годов, утвержденную постановлением Правительства Республики Алтай от 28 декабря 2024 г. № 475"
Номер опубликования: 0400202511010008
Дата опубликования: 01.11.2025
Страница №94 из 111:
Увеличить