Официальное опубликование правовых актов
ОФИЦИАЛЬНОЕ ОПУБЛИКОВАНИЕ
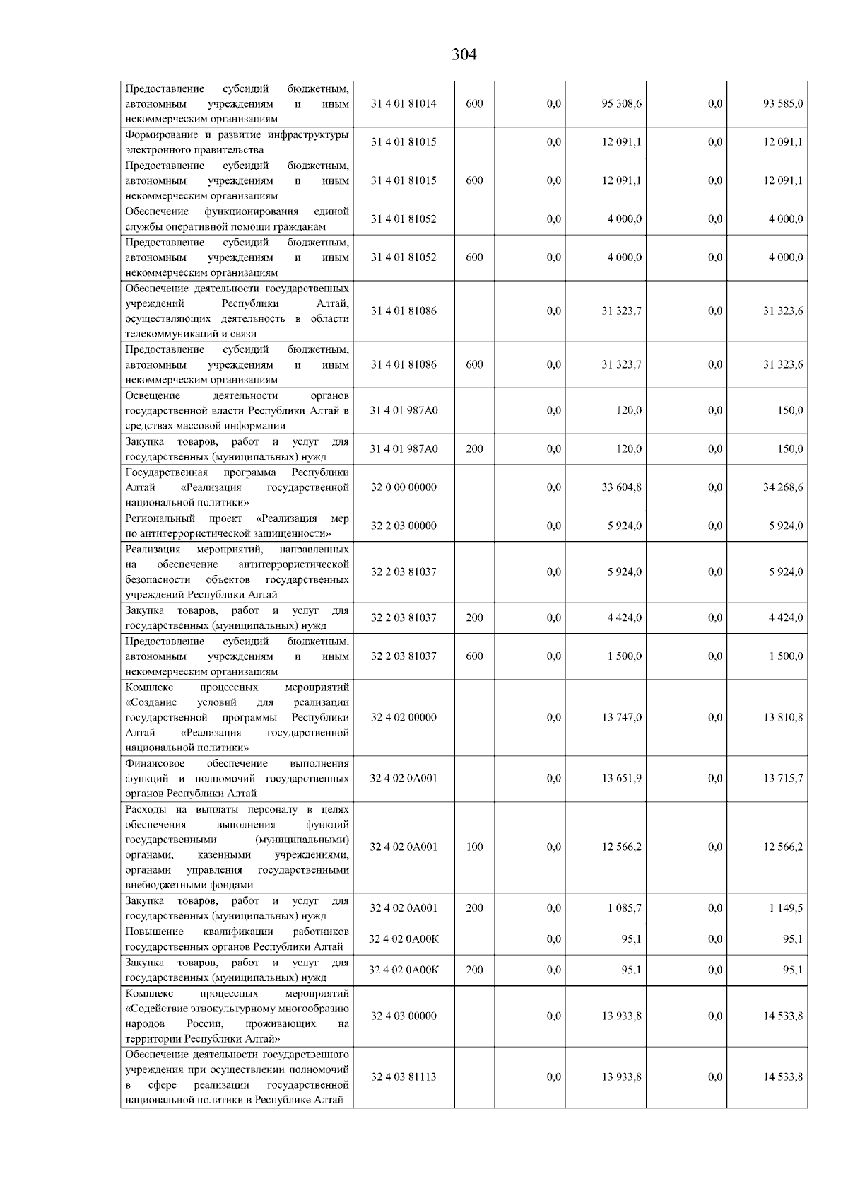
Закон Республики Алтай от 25.09.2025 № 69-РЗ
"О внесении изменений в Закон Республики Алтай "О республиканском бюджете Республики Алтай на 2025 год и на плановый период 2026 и 2027 годов"
Номер опубликования: 0400202509260002
Дата опубликования: 26.09.2025
Страница №304 из 453:
Увеличить