Официальное опубликование правовых актов
ОФИЦИАЛЬНОЕ ОПУБЛИКОВАНИЕ
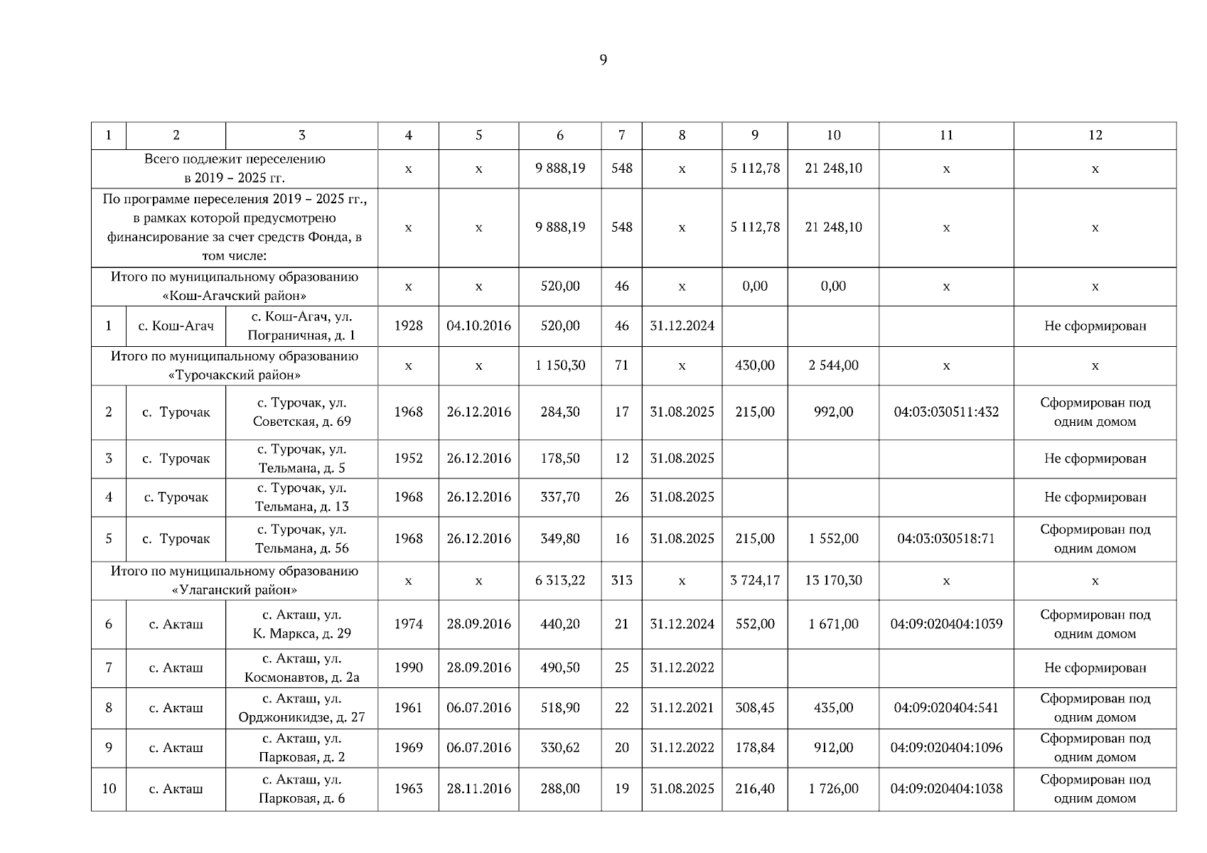
Постановление Правительства Республики Алтай от 21.08.2025 № 224
"О внесении изменений в республиканскую адресную программу "Переселение граждан из аварийного жилищного фонда в Республике Алтай в 2019-2025 годах", утвержденную постановлением Правительства Республики Алтай от 29 марта 2019 г. № 89"
Номер опубликования: 0400202508260005
Дата опубликования: 26.08.2025
Страница №9 из 21:
Увеличить