Официальное опубликование правовых актов
ОФИЦИАЛЬНОЕ ОПУБЛИКОВАНИЕ
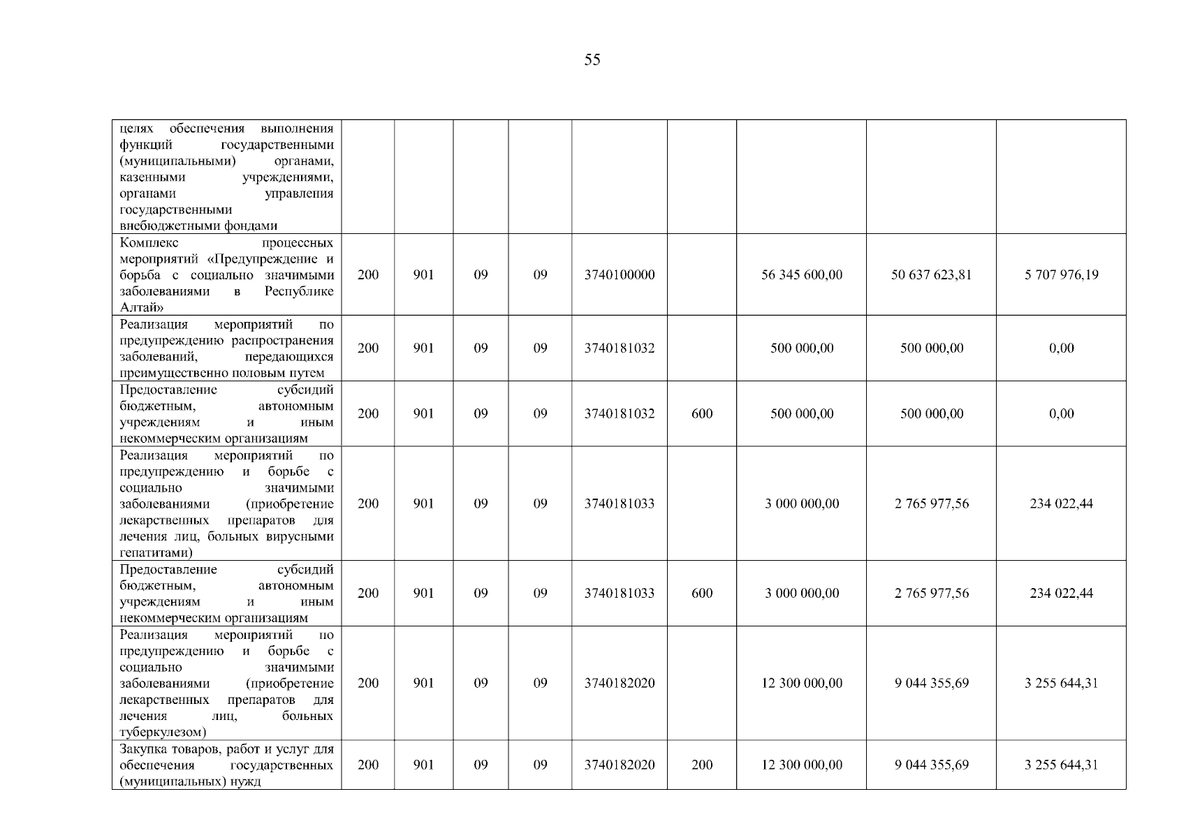
Постановление Правительства Республики Алтай от 10.09.2024 № 318
"Об утверждении отчета об исполнении республиканского бюджета Республики Алтай за первое полугодие 2024 года"
Номер опубликования: 0400202409120003
Дата опубликования: 12.09.2024
Страница №55 из 316:
Увеличить