Официальное опубликование правовых актов
ОФИЦИАЛЬНОЕ ОПУБЛИКОВАНИЕ
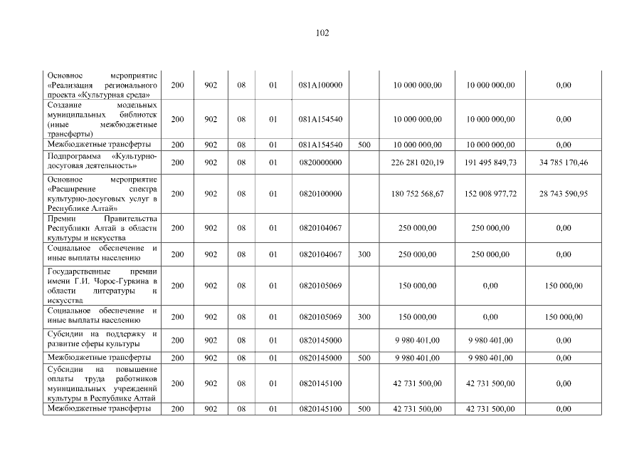
Постановление Правительства Республики Алтай от 22.11.2021 № 356
"Об утверждении отчета об исполнении республиканского бюджета Республики Алтай за девять месяцев 2021 года"
Номер опубликования: 0400202111230001
Дата опубликования: 23.11.2021
Страница №102 из 481:
Увеличить