Официальное опубликование правовых актов
ОФИЦИАЛЬНОЕ ОПУБЛИКОВАНИЕ
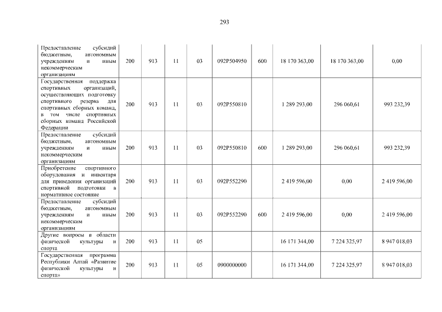
Постановление Правительства Республики Алтай от 13.08.2021 № 233
"Об утверждении отчета об исполнении республиканского бюджета Республики Алтай за первое полугодие 2021 года"
Номер опубликования: 0400202108130002
Дата опубликования: 13.08.2021
Страница №293 из 447:
Увеличить