Официальное опубликование правовых актов
ОФИЦИАЛЬНОЕ ОПУБЛИКОВАНИЕ
Постановление Правительства Республики Алтай от 14.07.2021 № 200
"О внесении изменений в постановление Правительства Республики Алтай от 16 июля 2009 года № 167"
Номер опубликования: 0400202107140002
Дата опубликования: 14.07.2021
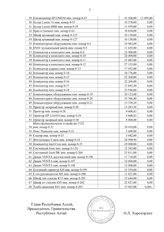
Страница №3 из 3:
Увеличить