Официальное опубликование правовых актов
ОФИЦИАЛЬНОЕ ОПУБЛИКОВАНИЕ
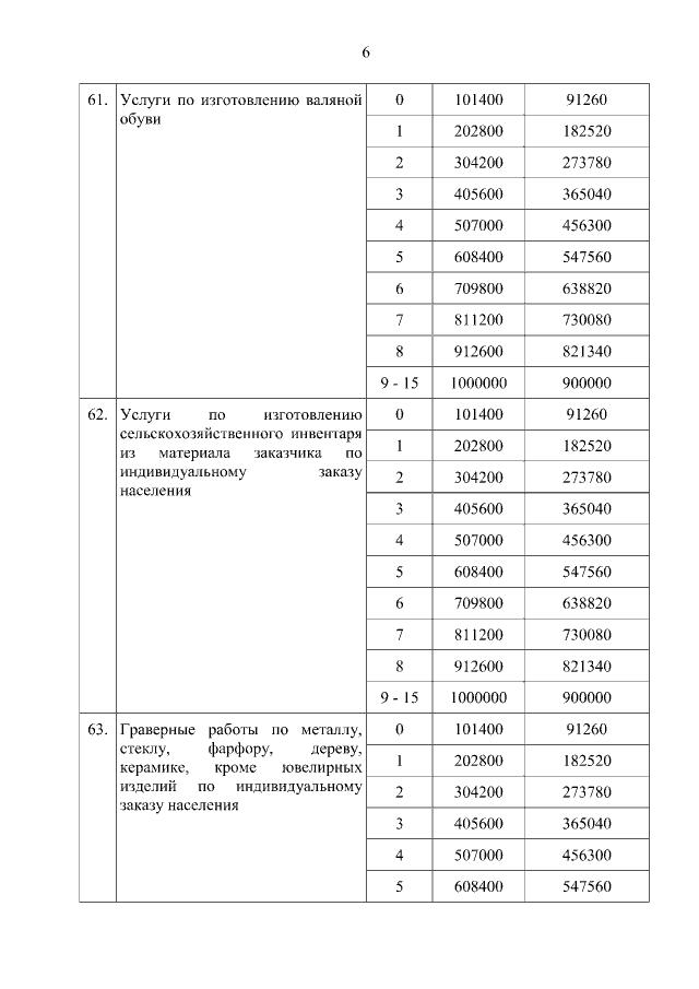
Закон Республики Алтай от 24.12.2020 № 89-РЗ
"О внесении изменений в Закон Республики Алтай "О патентной системе налогообложения на территории Республики Алтай"
Номер опубликования: 0400202012280018
Дата опубликования: 28.12.2020
Страница №6 из 12:
Увеличить