Официальное опубликование правовых актов
ОФИЦИАЛЬНОЕ ОПУБЛИКОВАНИЕ
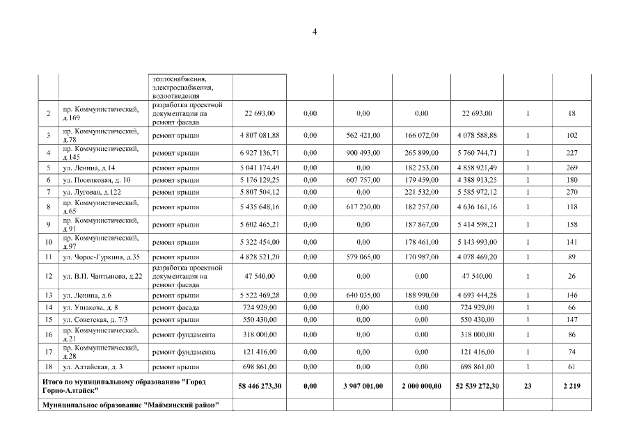
Постановление Правительства Республики Алтай от 17.11.2020 № 360
"Об утверждении краткосрочного плана реализации региональной программы "Проведение капитального ремонта общего имущества в многоквартирных домах на территории Республики Алтай на 2014-2043 годы" на 2019-2021 годы и признании утратившими силу некоторых постановлений Правительства Республики Алтай"
Номер опубликования: 0400202011180002
Дата опубликования: 18.11.2020
Страница №4 из 14:
Увеличить