Официальное опубликование правовых актов
ОФИЦИАЛЬНОЕ ОПУБЛИКОВАНИЕ
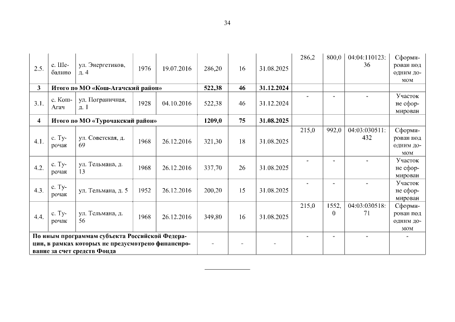
Постановление Правительства Республики Алтай от 30.10.2020 № 339
"О внесении изменений в республиканскую адресную программу "Переселение граждан из аварийного жилищного фонда в Республике Алтай в 2019-2025 годах"
Номер опубликования: 0400202011020001
Дата опубликования: 02.11.2020
Страница №34 из 45:
Увеличить