Официальное опубликование правовых актов
ОФИЦИАЛЬНОЕ ОПУБЛИКОВАНИЕ
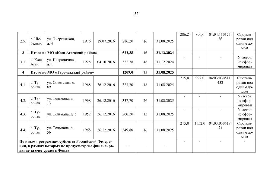
Постановление Правительства Республики Алтай от 17.08.2020 № 264
"О внесении изменений в республиканскую адресную программу "Переселение граждан из аварийного жилищного фонда в Республике Алтай в 2019-2025 годах"
Номер опубликования: 0400202008190002
Дата опубликования: 19.08.2020
Страница №32 из 43:
Увеличить