Официальное опубликование правовых актов
ОФИЦИАЛЬНОЕ ОПУБЛИКОВАНИЕ
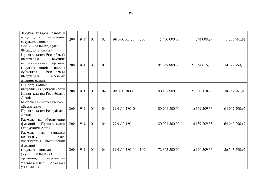
Постановление Правительства Республики Алтай от 27.05.2019 № 155
"Об утверждении отчета об исполнении республиканского бюджета Республики Алтай за первый квартал 2019 года"
Номер опубликования: 0400201905300007
Дата опубликования: 30.05.2019
Страница №359 из 456:
Увеличить