Постановление Правительства Республики Алтай от 12.10.2018 № 322
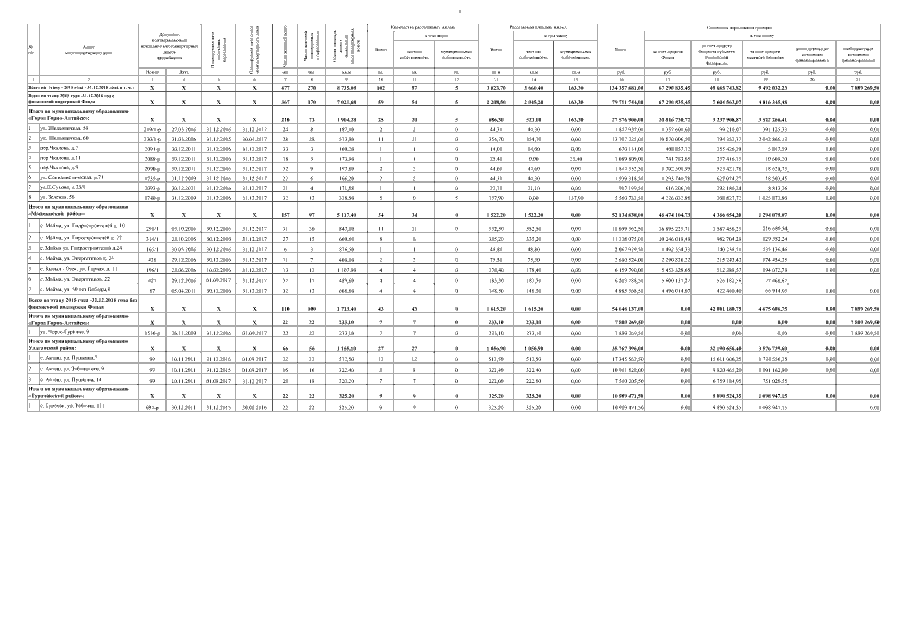
"О некоторых вопросах республиканской адресной программы "Переселение граждан из аварийного жилищного фонда в Республике Алтай в 2013-2017 годах"
"О некоторых вопросах республиканской адресной программы "Переселение граждан из аварийного жилищного фонда в Республике Алтай в 2013-2017 годах"
Номер опубликования: 0400201810180004
Дата опубликования:
18.10.2018
