Официальное опубликование правовых актов
ОФИЦИАЛЬНОЕ ОПУБЛИКОВАНИЕ
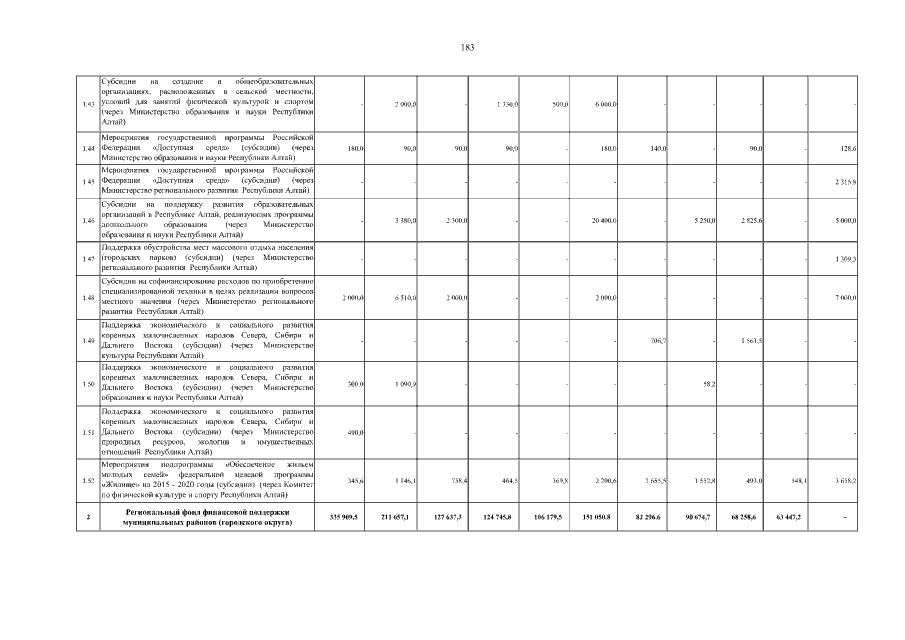
Закон Республики Алтай от 25.12.2017 № 78-РЗ "О внесении изменений в Закон Республики Алтай "О республиканском бюджете Республики Алтай на 2017 год и на плановый период 2018 и 2019 годов"
Номер опубликования: 0400201712260009
Дата опубликования: 26.12.2017
Страница №183 из 186:
Увеличить