Официальное опубликование правовых актов
ОФИЦИАЛЬНОЕ ОПУБЛИКОВАНИЕ
Приказ Республиканской службы по тарифам Республики Бурятия от 25.12.2025 № 1/35
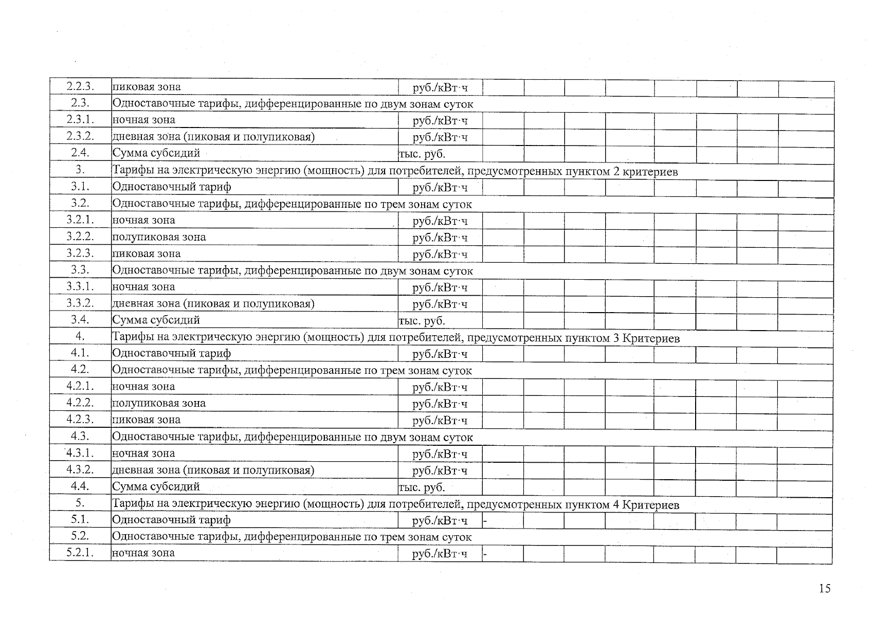
"О внесении изменений в приказ Республиканской службы по тарифам Республики Бурятия от 18.12.2023 № 1/24 "О тарифах на электрическую энергию (мощность), поставляемую производителем электрической энергии (мощности) ООО "Энергостройсервис" в технологически изолированной территориальной энергетической системе п. Таёжный СП "Иройское" Селенгинского района на территории Республики Бурятия на 2024-2028 годы"
(Зарегистрирован 29.12.2025 № 032025693)
Номер опубликования: 0301202512300006
Дата опубликования: 30.12.2025
Страница №15 из 18:
Увеличить