Официальное опубликование правовых актов
ОФИЦИАЛЬНОЕ ОПУБЛИКОВАНИЕ
Приказ Республиканской службы по тарифам Республики Бурятия от 25.12.2025 № 1/33
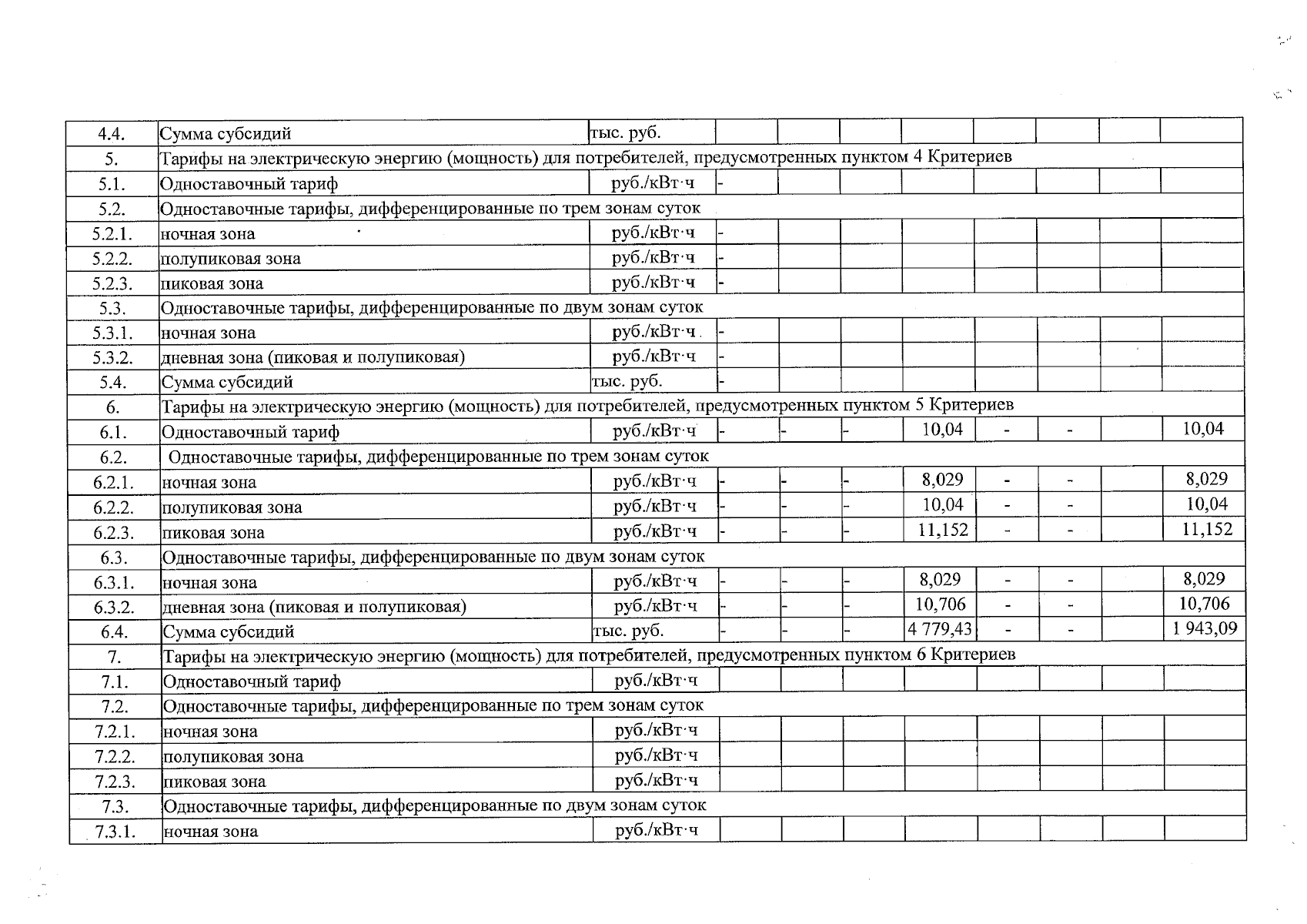
"О внесении изменений в приказ Республиканской службы по тарифам Республики Бурятия от 28.11.2022 № 1/33 "О тарифах на электрическую энергию (мощность), поставляемую производителем электрической энергии (мощности) ООО "Энергостройсервис" в технологически изолированной территориальной энергетической системе Баунтовского эвенкийского района на территории Республики Бурятия"
(Зарегистрирован 29.12.2025 № 032025691)
Номер опубликования: 0301202512300004
Дата опубликования: 30.12.2025
Страница №6 из 12:
Увеличить