Официальное опубликование правовых актов
ОФИЦИАЛЬНОЕ ОПУБЛИКОВАНИЕ
Приказ Министерства здравоохранения Республики Бурятия от 12.11.2025 № 732-ОД
"Об утверждении административного регламента Министерства здравоохранения Республики Бурятия по предоставлению государственной услуги "Направление граждан на оказание высокотехнологичной медицинской помощи по перечню видов, не включенных в базовую программу обязательного медицинского страхования"
(Зарегистрирован 12.12.2025 № 032025446)
Номер опубликования: 0301202512180023
Дата опубликования: 18.12.2025
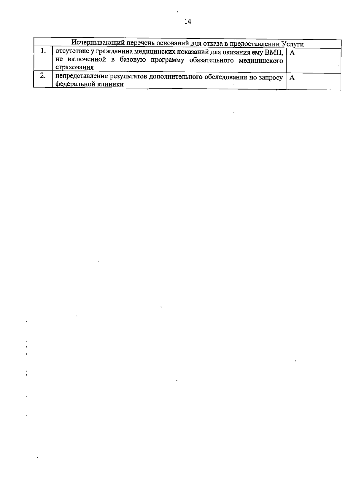
Страница №14 из 16:
Увеличить