Официальное опубликование правовых актов
ОФИЦИАЛЬНОЕ ОПУБЛИКОВАНИЕ
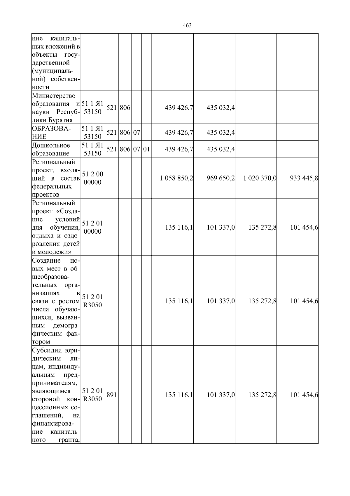
Закон Республики Бурятия от 18.12.2025 № 1357-VII
"О республиканском бюджете на 2026 год и на плановый период 2027 и 2028 годов"
Номер опубликования: 0300202512220008
Дата опубликования: 22.12.2025
Страница №463 из 2180:
Увеличить