Официальное опубликование правовых актов
ОФИЦИАЛЬНОЕ ОПУБЛИКОВАНИЕ
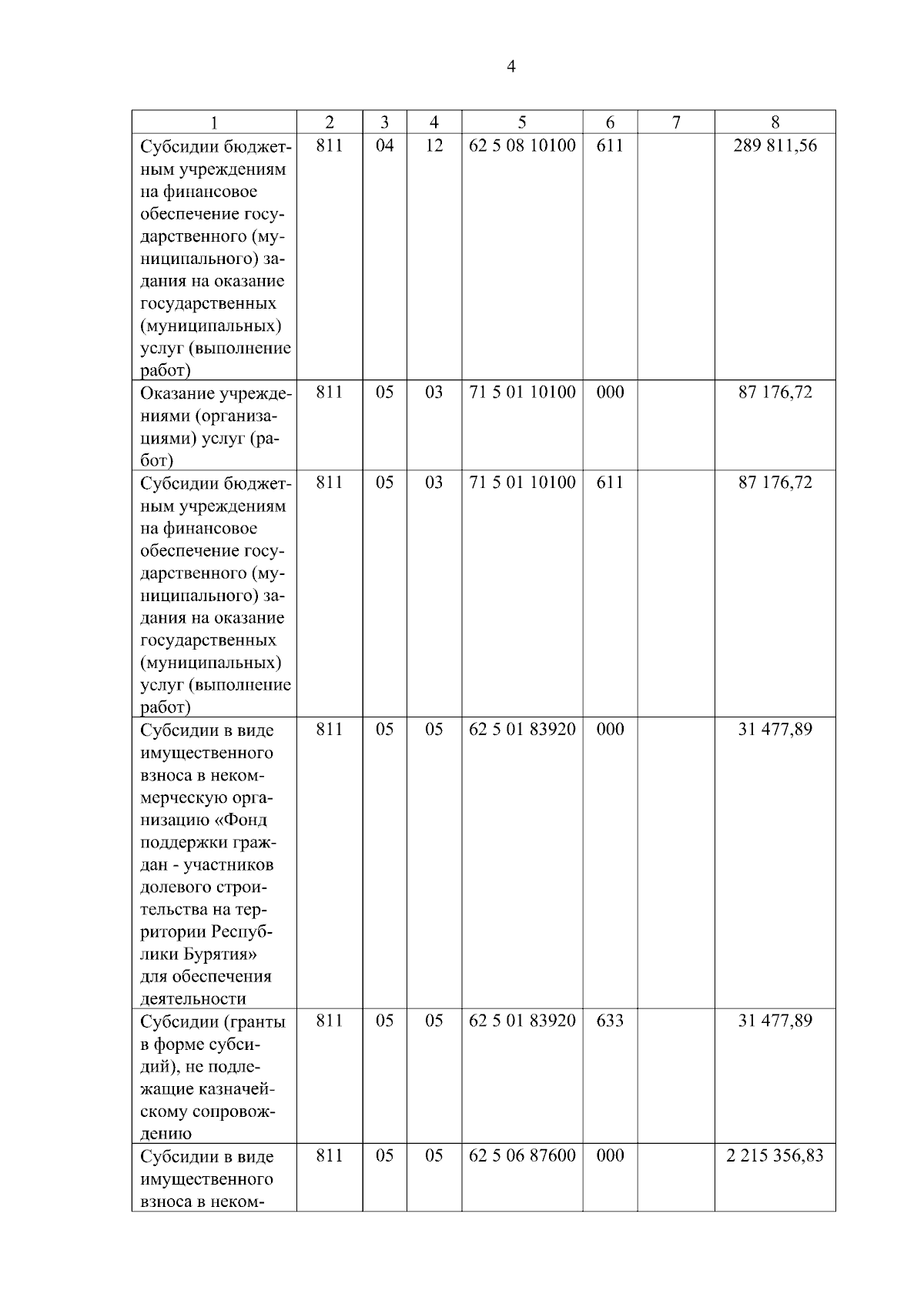
Распоряжение Правительства Республики Бурятия от 09.12.2025 № 1036-р
Номер опубликования: 0300202512110008
Дата опубликования: 11.12.2025
Страница №4 из 5:
Увеличить