Официальное опубликование правовых актов
ОФИЦИАЛЬНОЕ ОПУБЛИКОВАНИЕ
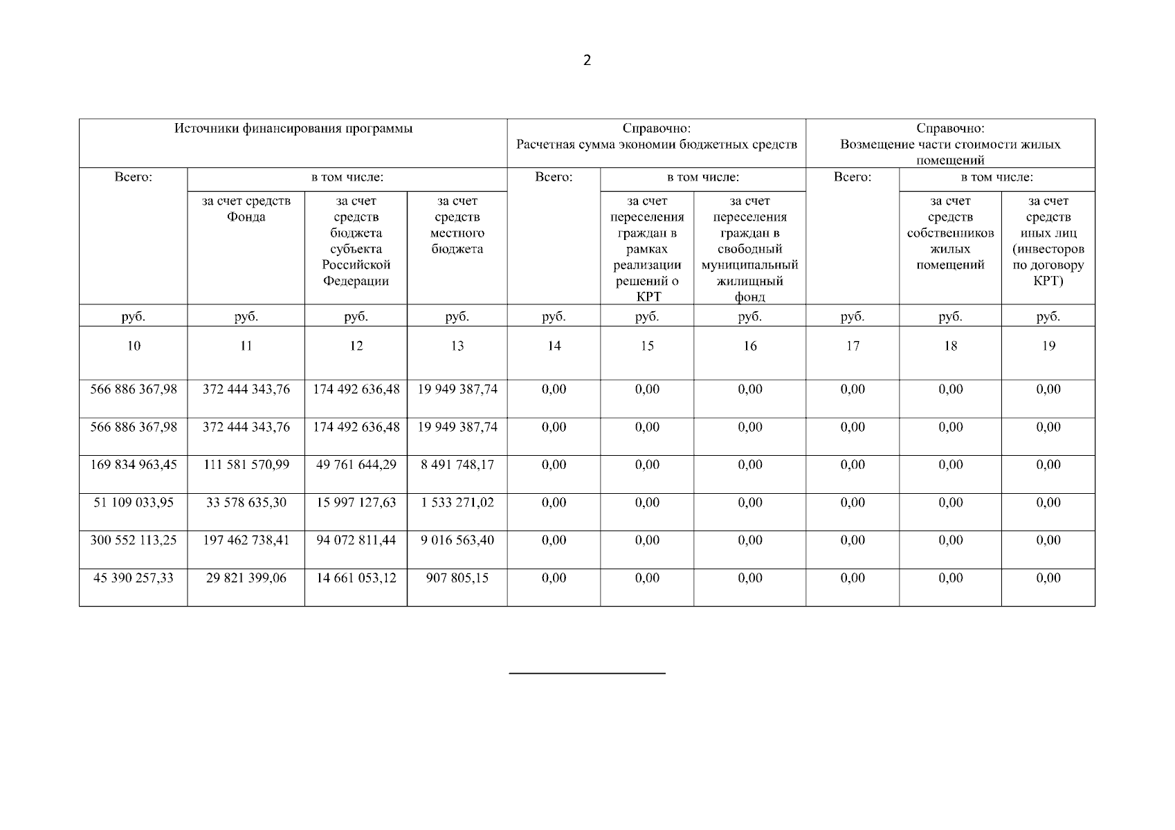
Постановление Правительства Республики Бурятия от 03.10.2025 № 577
"Об утверждении Республиканской адресной программы по переселению граждан из аварийного жилищного фонда на территории Республики Бурятия, признанного таковым после 1 января 2017 года, на 2025 - 2026 годы"
Номер опубликования: 0300202510030014
Дата опубликования: 03.10.2025
Страница №31 из 33:
Увеличить