Официальное опубликование правовых актов
ОФИЦИАЛЬНОЕ ОПУБЛИКОВАНИЕ
Постановление Правительства Республики Бурятия от 05.04.2019 № 170
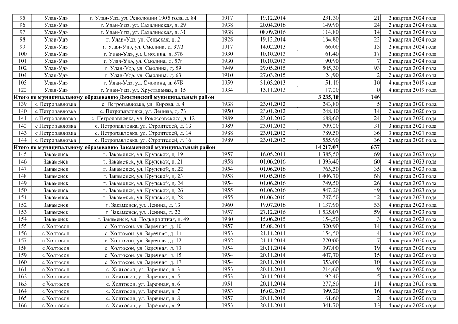
"Об утверждении Региональной адресной программы Республики Бурятия по переселению граждан из аварийного жилищного фонда, признанного таковым до 1 января 2017 года, на период 2019 – 2024 годы"
Номер опубликования: 0300201904100002
Дата опубликования: 10.04.2019
Страница №4 из 34:
Увеличить