Официальное опубликование правовых актов
ОФИЦИАЛЬНОЕ ОПУБЛИКОВАНИЕ
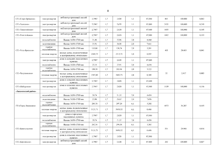
Распоряжение Правительства Республики Бурятия от 22.01.2019 № 30-р
Номер опубликования: 0300201901250007
Дата опубликования: 25.01.2019
Страница №27 из 41:
Увеличить