Официальное опубликование правовых актов
ОФИЦИАЛЬНОЕ ОПУБЛИКОВАНИЕ
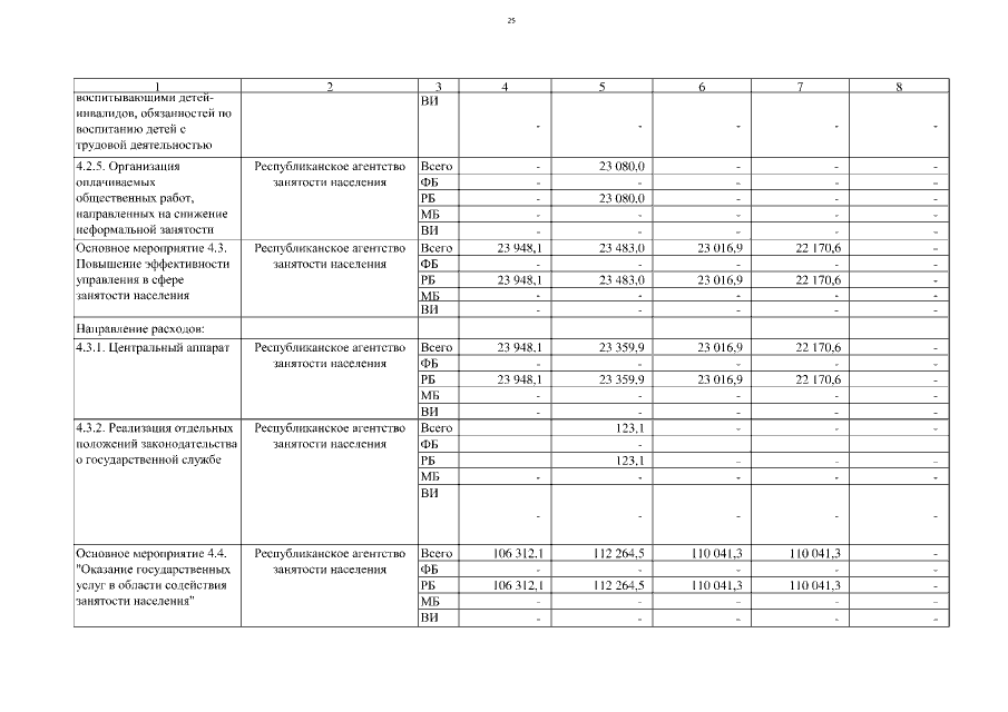
Постановление Правительства Республики Бурятия от 14.01.2019 № 7
"О внесении изменений в постановление Правительства Республики Бурятия от 31.05.2013 № 272 "Об утверждении Государственной программы Республики Бурятия "Экономическое развитие и инновационная экономика"
Номер опубликования: 0300201901160004
Дата опубликования: 16.01.2019
Страница №30 из 47:
Увеличить