Официальное опубликование правовых актов
ОФИЦИАЛЬНОЕ ОПУБЛИКОВАНИЕ
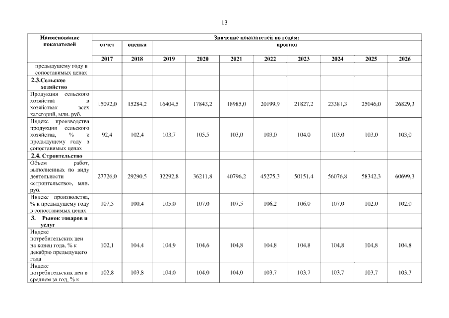
Постановление Правительства Республики Бурятия от 27.12.2018 № 754
"Об утверждении долгосрочного прогноза социально-экономического развития Республики Бурятия на период до 2035 года"
Номер опубликования: 0300201812290022
Дата опубликования: 29.12.2018
Страница №77 из 89:
Увеличить