Официальное опубликование правовых актов
ОФИЦИАЛЬНОЕ ОПУБЛИКОВАНИЕ
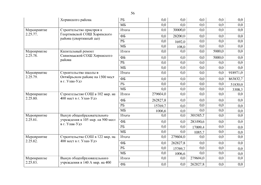
Постановление Правительства Республики Бурятия от 27.12.2018 № 753
"О внесении изменений в постановление Правительства Республики Бурятия от 06.02.2013 № 49 "Об утверждении Государственной программы Республики Бурятия" Развитие образования и науки"
Номер опубликования: 0300201812290020
Дата опубликования: 29.12.2018
Страница №142 из 160:
Увеличить