Официальное опубликование правовых актов
ОФИЦИАЛЬНОЕ ОПУБЛИКОВАНИЕ
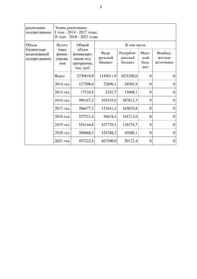
Постановление Правительства Республики Бурятия от 20.12.2018 № 730
"О внесении изменений в постановление Правительства Республики Бурятия от 03.09.2012 № 502 "О Государственной программе Республики Бурятия "Культура Бурятии"
Номер опубликования: 0300201812240007
Дата опубликования: 24.12.2018
Страница №15 из 86:
Увеличить