Официальное опубликование правовых актов
ОФИЦИАЛЬНОЕ ОПУБЛИКОВАНИЕ
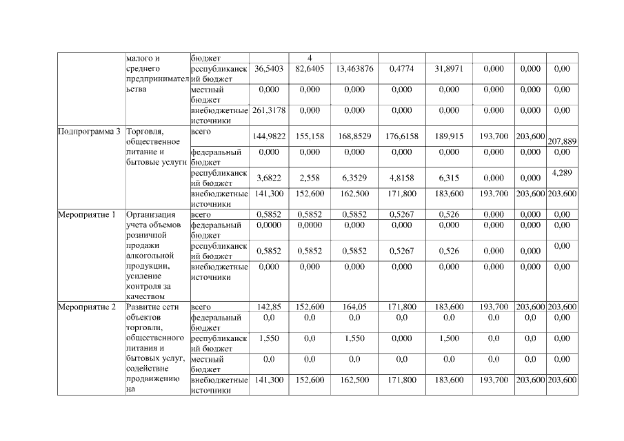
Постановление Правительства Республики Бурятия от 04.07.2018 № 359
"О внесении изменений в постановление Правительства Республики Бурятия от 28.03.2013 № 151 "Об утверждении Государственной программы Республики Бурятия "Развитие промышленности, малого и среднего предпринимательства и торговли"
Номер опубликования: 0300201807090015
Дата опубликования: 09.07.2018
Страница №63 из 99:
Увеличить