Официальное опубликование правовых актов
ОФИЦИАЛЬНОЕ ОПУБЛИКОВАНИЕ
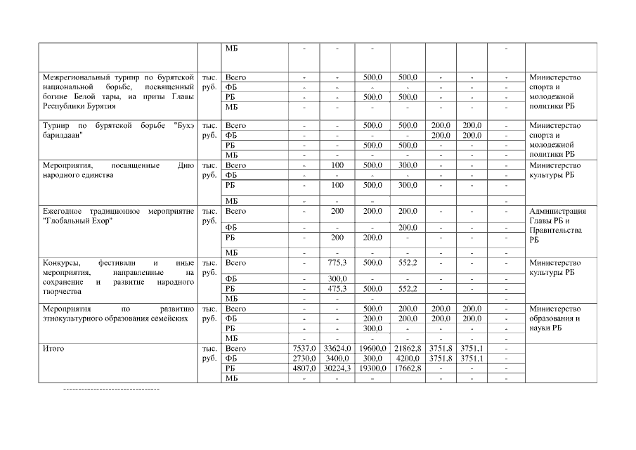
Постановление Правительства Республики Бурятия от 30.05.2018 № 298
"О внесении изменений в постановление Правительства Республики Бурятия от 05.03.2015 № 104 "Об утверждении Государственной программы Республики Бурятия "Укрепление единства российской нации и этнокультурное развитие народов России в Республике Бурятия"
Номер опубликования: 0300201806060004
Дата опубликования: 06.06.2018
Страница №21 из 79:
Увеличить