Официальное опубликование правовых актов
ОФИЦИАЛЬНОЕ ОПУБЛИКОВАНИЕ
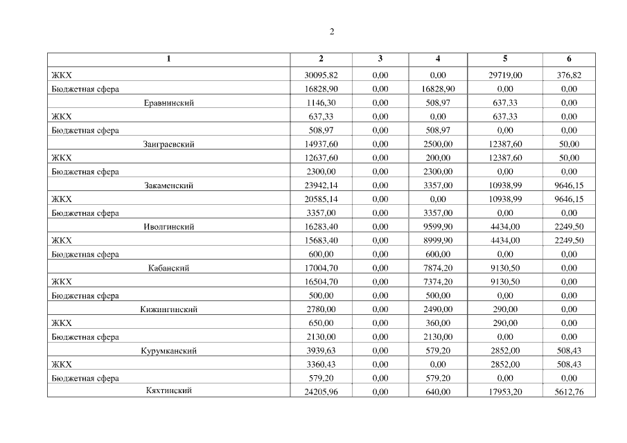
Распоряжение Правительства Республики Бурятия от 30.05.2018 № 283-р
Номер опубликования: 0300201806040002
Дата опубликования: 04.06.2018
Страница №12 из 16:
Увеличить