Официальное опубликование правовых актов
ОФИЦИАЛЬНОЕ ОПУБЛИКОВАНИЕ
Постановление Правительства Республики Бурятия от 02.03.2018 № 108
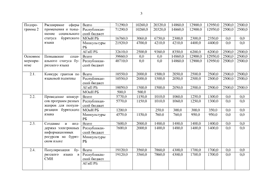
"О внесении изменений в постановление Правительства Республики Бурятия от 23.06.2014 № 289 "Об утверждении Государственной программы Республики Бурятия "Сохранение и развитие бурятского языка в Республике Бурятия"
Номер опубликования: 0300201803070001
Дата опубликования: 07.03.2018
Страница №10 из 13:
Увеличить